第五章 工程项目进度管理
第一节 工程项目进度管理过程、工作定义与工作顺序安排
一、进度管理过程 2
进度管理过程(内容)包括:规划进度管理→工作定义→工作顺序安排→工作资源估算→工作时间估算→进度计划制定→进度控制等。
二、工作定义 1
工作定义——就是对工作分解结构(WBS)中规定的可交付成果或半成品所产生的必须进行的具体工作进行定义,并形成相应的文件,包括:
① 工作清单
② 工作分解结构的更新
(一)工作定义的依据
进度管理计划
项目范围说明书
工作分解结构(WBS)
范围管理中作出的 WBS 是工作定义的基本依据。
环境因素
组织过程资产
(二)工作定义的方法
- 分解法
- 模板法
- 滚动式规划
- 专家判断
(三)工作定义的成果
- 工作清单
- 工作属性
- 里程碑清单
- 修正的工作分解结构
三、工作顺序安排 4
(一)工作顺序安排的依据
(1)进度管理计划。
(2)工作清单。
(3)工作属性。
(4)里程碑清单。
(5)项目范围说明书。
(6)环境因素。
(7)组织过程资产。
(二)工作顺序安排的方法
常用的四种工作顺序安排方法:双代号网络图法、双代号时标网络图法、单代号网络图法和单代号搭接网络图法。
双代号网络图法
(1)双代号网络图的基本概念
双代号网络图由工作、节点、线路三个基本要素组成。
1)工作(活动、作业或工序)
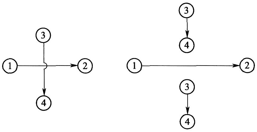
在双代号网络图中,工作用一根箭线和两个圆圈来表示。
- 工作的名称写在箭线的上面,完成工作所需要的时间写在箭线的下面。
- 箭尾表示工作开始,箭头表示工作结束。
- 圆圈中的两个号码用来代表这项工作。
如图所示:(i < j < k)

工作通常分为两种:
第一种:既需要消耗时间,又需要消耗资源,用实箭线表示;
第二种:既不消耗时间,也不消耗资源,称为虚工作,用虚箭线表示。
虚工作是人为的虚设工作,只表示相邻前后工作之间的逻辑关系。
2)节点(结点或事件)
在网络图中,箭线的出发和交汇处画上圆圈,用以标志该圆圈前面一项或若干项工作的结束和允许后面一项或若干项工作开始的时间点,称为节点。
在双代号网络图中,节点不同于工作,它不需要消耗时间或资源,它只标志着工作的结束和开始的瞬间,起着连接工作的作用。
双代号网络图

起点节点是指网络图的第一个节点,表示执行项目计划的开始,没有内向箭线。
终点节点是指达到了项目计划的最终目标,它没有外向箭线。
除起点节点和终点节点外,其余称中间节点,它既表示完成一项或几项工作的结果,又表示一项或几项紧后工作开始的条件。
3)线路
网络图中从起点节点开始,沿箭头方向顺序通过一系列箭线与节点,最后到达终点节点的通路称为线路。
- 线路表示:线路既可依次用该线路上的节点编号来表示,也可依次用该线路上的工作名称来表示。
- 总持续时间:线路上所有工作的持续时间之和称为该线路的总持续时间。
- 关键线路:总持续时间最长的线路称作关键线路,其他线路长度均小于关键线路,称为非关键线路。关键线路的长度就是网络计划的总工期。
4)紧前工作、紧后工作和平行工作
- 在网络图中,相对于某工作而言,紧排在该工作之前的工作称为该工作的紧前工作。 在双代号网络图中,工作与其紧前工作之间可能有虚工作。
- 在网络图中,相对于某工作而言,紧排在该工作之后的工作称为该工作的紧后工作。 在双代号网络图中,工作与其紧后工作之间可能有虚工作。
- 在网络图中,相对于某工作而言,可以与该工作同时进行(注:同时开始)的工作即为该工作的平行工作。
5)逻辑关系
逻辑关系包括工艺关系和组织关系。
① 工艺关系
生产性工作之间由工艺过程决定的,非生产性工作之间由工作程序决定的先后顺序关系叫工艺关系。
工艺关系也称为硬逻辑关系。
基础工程网络图

② 组织关系
工作之间由于组织安排需要或资源调配需要而规定的先后顺序关系叫组织关系。
组织关系也称为软逻辑关系,软逻辑关系可以由项目团队确定。
(2)双代号网络图的绘制原则
1)网络图必须按照已定的逻辑关系绘制。

2)网络图应只有一个起点节点和一个终点节点(多目标网络计划除外)。除终点和起点节点外,不允许出现没有内向箭线的节点和没有外向箭线的节点。

3)网络图中所有节点都必须编号,并应使箭尾节点的编号小于箭头节点的编号。(如图中⑧→③错误)
4)网络图中不允许出现从一个节点出发顺箭线方向又回到原出发点的循环回路。
存在循环回路和节点编号错误的网络图

5)工作或事件的字母代号或数字编号,在同一任务的网络图中,不允许重复出现。
6)网络图中的箭线(包括虚箭线,以下同)应保持自左向右的方向,不应出现箭头向左或偏向左方的箭线。
(即箭线水平投影的方向应自左向右。)
7)网络图中不允许出现没有箭尾节点的箭线和没有箭头节点的箭线。
(a)存在没有箭尾节点的箭线(b)存在没有箭头节点的箭线 错误的画法

8)严禁在箭线上引入或引出箭线。
(a)在箭线上引入箭线 (b)在箭线上引出箭线
错误的画法

9)应尽量避免网络图中工作箭线的交叉。当交叉不可避免时,可以采用过桥法或指向法处理(a)过桥法 (b)指向法

双代号时标网络图法
(1)双代号时标网络计划的表示方法
双代号时标网络计划(简称时标网络计划)是指以水平时间坐标为尺度绘制的双代号网络计划。时标单位可以是小时、天、周、月、季、年等,应根据需要在编制网络计划之前确定。

在时标网络计划中:
1)以实箭线表示工作,实箭线的水平投影长度表示该工作的持续时间;
2)以虚箭线表示虚工作,由于虚工作的持续时间为零,故虚箭线只能垂直画;
3)以波形线表示工作与其紧后工作之间的时间间隔(以终点节点为完成节点的工作除外,当计划工期等于计算工期时,这些工作箭线中波形线的水平投影长度表示其自由时差。注:有特殊情况)。
时标网络计划既是一个网络计划,又类似于用横道图表示的一个水平进度计划。
- 它既能标明计划的时间过程,又能在图上显示出各项工作开始、完成时间、关键线路和关键工作所具有的时差(关键工作所具有的时差=0;另,还可显示出自由时差)。
(2)时标网络计划的绘制方法
时标网络计划宜按各项工作的最早开始时间编制。
- 早时标网络计划——时标网络图中的工作全部按最早开始和最早完成时间绘制;
- 迟时标网络计划——网络图中的工作全部按最迟开始和最迟完成时间绘制。
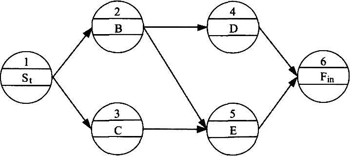
3. 单代号网络图法
单代号绘图法是利用节点代表工作而用表示依赖关系的箭线将节点联系起来的一种绘制项目网络图的方法,这种方法也叫节点工作法。
- 单代号网络计划图 1,2,3,4,5,6——节点编号; B,C,D,E——工作; St——虚拟起点节点; Fin——虚拟终点节点。

第二节 工程项目工作资源估算与工作时间估算
一、工作资源估算 3
- 工程项目前期阶段(决策阶段)
- 资源主要是人力资源。
- 决策阶段与施工阶段相比所需资源较少,但对整个工程项目总体投资的影响程度却是最重要的。
- 工程项目准备阶段
- 资源也是以人力资源为主。
- 对实施阶段的影响十分重要。
- 工程项目实施阶段
- 施工所需资源的费用往往占工程总费用的80%以上。
- 工程项目试生产及竣工验收阶段
- 资源需求已接近尾声,资源需求量已很少。

(一)工作资源估算的依据
- 进度管理计划。
- 工作清单。
- 工作属性。
- 资源日历。
- 风险登记册。
- 工作成本估算。
- 环境因素。
- 组织过程资产。
(二)工作资源估算的方法
资源需求分析
资源供给分析
备选方案分析
资源分配及资源计划
资源计划的优化
- 首先,通过定义优先级确定各种资源的重要性。
- 然后,根据资源的优先级对资源消耗计划进行优化及平衡。
定义优先级的标准:
① 资源的数量和价值量;
② 资源增减的可能性;
③ 获得程度;
④ 可替代性;
⑤ 供应问题对项目的影响。
二、工作时间估算 3
(一)工作时间估算的依据
- 进度管理计划。
- 工作清单。
- 工作属性。
- 工作资源需求。
- 资源日历。
- 项目范围说明书。
- 已识别的风险。
- 资源分解结构。
- 环境因素。
- 组织过程资产。
- 社会运行的各类相关数据。
(二)工作时间估算的方法
- 类比估算
- 利用历史数据
- 定额:利用定额进行时间估算一般采用单一时间估算法。
- 项目档案。
- 商业化的时间估算数据库。
- 项目团队成员的知识。
- 专家判断估算
- 专家判断估算常常采用三时估算法。
- 模拟法
- 最常用的是蒙特卡罗分析法。
第三节 工程项目进度计划制定
一、制定进度计划的依据 1
- 进度管理计划
- 工作清单
- 工作属性
- 项目进度网络图
- 工作资源需求
- 资源日历
- 时间估算
- 项目范围说明书
- 风险登记册
- 项目人员分派
- 资源分解结构
- 环境因素
- 组织过程资产
二、制定进度计划的方法 5
制定进度计划的方法很多,最常用的方法有:关键线路法(CPM)、计划评审技术(PERT)、图示评审技术(GERT)等。
关键线路法
关键线路法是计划中工作与工作之间的逻辑关系肯定,且每项工作只估算一个肯定的持续时间的网络计划技术。它是沿着项目进度网络线路进行正向与反向分析,从而计算出所有计划工作理论上的最早开始与完成时间、最迟开始与完成时间,不考虑资源限制。
由此计算而得到的最早开始与完成时间、最迟开始与完成时间不一定是项目的进度表,它们只不过表明计划工作在给定的工作持续时间、逻辑关系、时间提前与滞后量,以及其他已知制约条件下,应当安排的时间段与长短。
计划评审技术
计划评审技术是计划中工作与工作之间的逻辑关系肯定,但每项工作的持续时间不肯定,一般采用加权平均时间估算,并对按期完成项目的可能性做出评价的网络计划方法。
计划评审技术(PERT)与关键线路法(CPM)的根本区别在于它使用了加权平均时间估算,做出来的进度安排计划要比CPM使用最大可能估算做出的现实。
1、工作持续时间
工作持续时间是指一项工作从开始到完成的时间。在双代号网络计划中,工作i-j的持续时间用Di-j表示;在单代号网络计划中,工作i的持续时间用Di表示。
2、工期
(1)工期的种类
- 计算工期——根据网络计划时间参数计算而得的工期。
- 要求工期——指令性工期或合同工期。
- 计划工期——作为项目实施目标的工期。
(2)计划工期的确定
- 当规定了要求工期的,计划工期 ≤ 要求工期。
- 未规定要求工期时,计划工期 = 计算工期。
3、工作的六个时间参数
(1)最早开始时间(ES)是指在各紧前工作全部完成后,本工作有可能开始的最早时刻。
(2)最早完成时间(EF)是指在各紧前工作全部完成后,本工作有可能完成的最早时刻。
(3)最晚开始时间(LS)是指在不影响整个任务按期完成的前提下,工作必须开始的最迟时刻。
(4)最晚完成时间(LF)是指在不影响整个任务按期完成的前提下,工作必须完成的最迟时刻。
(5)总时差(TF)是指在不影响总工期的前提下,工作可以利用的机动时间。
(6)自由时差(FF)是指在不影响其紧后工作最早开始时间的前提下,工作可以利用的机动时间。
(1)最早开始时间=各紧前工作的最早完成时间最大值。
(2)最早完成时间=最早开始时间+持续时间。
(3)最晚开始时间=最晚完成时间-持续时间。
(4)最晚完成时间=各紧后工作的最晚开始的最小值。
(5)总时差=最晚开始-最早开始=最晚完成-最早完成。
(6)自由时差=紧后工作的最早开始时间-本工作的最早完成时间。

自由时差求解之华山论剑法:

游戏玩法:
1.众多玩家从迷宫起点出发,有玩家到达终点游戏结束。
2.游戏过程中会遭遇PVC 或PVP,PVC 会使玩家等级提高,PVP 不升级,但胜利者可以继续前进,失败者则失去游戏资格被锁在迷宫中。
3.PVP 遭遇战中等级高者胜利,低者失败,等级相同则握手言和,合兵一路继续前进。
自由时差求解之华山论剑法:

自由时差求解之华山论剑法:

3.双代号网络图中时间参数的计算
(1)关键工作:总时差最小的工作是关键工作。
(2)关键线路:自始至终全部由关键工作组成的线路为关键线路,或线路上总的持续时间最长的线路为关键线路。
4.单代号网络图中时间参数的计算
(1)关键工作:总时差最小的工作是关键工作。
(2)关键线路:从起点节点开始到终点节点均为关键工作,且所有工作的间隔时间为零的线路为关键线路。
5.进度偏差是否影响到其后续工作和总工期的确定方法
(1)进度偏差是否影响到其后续工作的判断:
- 进度偏差 ≤ 自由时差,不影响;
- 进度偏差 > 自由时差,影响;大于几天就会使紧后工作最早开始时间推迟几天。
(2)进度偏差是否影响到总工期的判断:
- 进度偏差 ≤ 总时差,不影响;
- 进度偏差 > 总时差,影响;大于几天就会使总工期延误几天。
6.进度偏差的影响总结
- 进度偏差 ≤ 自由时差:不影响紧后工作和总工期;
- 自由时差 < 进度偏差 ≤ 总时差:不影响总工期,但紧后工作最早开始时间推迟;
- 进度偏差 > 总时差:紧后工作最早开始时间推迟,总工期延长。
三、进度计划优化 3
进度计划的优化方法有:工期优化、费用优化、资源优化三种。
(一)工期优化
工期优化是指压缩计算工期以满足工期要求,或在一定条件下使工期最短的过程。工期优化一般通过压缩关键工作的持续时间来进行。
(二)费用优化
费用优化又叫工期成本优化,是寻求最低成本的最短工期安排,或按要求工期寻求最低成本的计划安排过程。
费用和时间的关系
在进行费用优化时,把工程费用分为两部分:
- 直接费:缩短工期,直接费增加。
- 间接费:缩短工期,间接费将减少。
(三)资源优化
资源的供应情况是影响工程进度的主要因素。因此,在编制进度计划时一定要以现有的资源条件为基础,通过改变工作的开始时间,使资源按时间的分布符合优化目标。
资源优化包括:
- 资源有限—工期最短的优化。
- 工期固定—资源均衡的优化。
四、进度计划编制的成果 1
进度基准
进度基准是经过批准的进度模型,用作与实际结果进行比较的依据。
工程项目进度计划
进度计划的表示方法有以下几种:
(1)横道图
横道图是传统的进度计划表示方法。水平线段的位置和长短反映该项目从开始到完工的时间。利用横道图可将每天、每周或每月实际进度情况定期记录在横道图上。
缺点是不能全面反映各项工作之间的逻辑关系。
(2)时标网络图
时标网络图将项目的网络图和横道图结合了起来,既表示项目的逻辑关系,又表示工作时间。
① 它既是一个网络计划,又是一个水平进度计划,能够清楚地标明计划的时间进程。
② 能在图上直接显示出各项工作的开始和完成时间,工作的自由时差及关键线路。在使用过程中,可以随时确定哪些工作已经完成,哪些工作正在进行及哪些工作就要开始。
③ 由于网络图能清楚地表示出哪些工作需要同时进行,因此可以确定同一时间对材料、机械、设备以及人力的需要量。
(3)里程碑法(亦称可交付成果法)
里程碑法是在横道图上或网络图上标示出一些关键事项,这些事项能够被明显地确认,一般是反映进度计划执行中各个阶段的目标。通过这些关键事项在一定时间内的完成情况,可反映项目进度计划的进展情况。
(4)进度曲线法
进度曲线法是以时间为横轴,以完成累计工作量为纵轴,按计划时间累计完成任务量的曲线作为预定的进度计划。
从整个项目的实施进度来看,由于项目的初期和后期速度比较慢,因而进度曲线大体呈S形。

第四节 工程项目进度控制
一、工程项目进度控制的依据 2
(1)项目管理计划。
(2)项目进度计划。
(3)进度报告。
(4)项目日历。
(5)进度数据。
(6)组织过程资产。
二、工程项目进度控制方法 4
(一)进度监测的系统过程
进度计划执行中的跟踪检查
实际进度数据的加工处理
实际进度与计划进度的对比分析
将实际进度数据与计划进度数据进行比较,可以确定工程实际执行状况与计划目标之间的差距。
常用的进度比较方法有:趋势分析、关键路径法、挣值管理。
(1)趋势分析
趋势分析检查项目绩效随时间的变化情况,以确定绩效是在改善还是在恶化。图形分析技术有助于理解当前绩效,并与计划的完工日期进行对比。
1)横道图比较法
2)前锋线比较法
3)S形曲线比较法
如图所示,横坐标表示进度时间,纵坐标表示累计工作量完成情况。

通过将项目进度基准计划的S形曲线和实际S形曲线绘制在同一张图上,可以得到:
(1)项目实际进度比计划进度超前或拖后的时间。
(2)项目实际进度比计划进度超额或拖欠的工作量完成情况。
另外,(3)还能进行后续的进度预测。
4)香蕉曲线比较法
在项目进度实施过程中,实际进度曲线应当落在ES曲线和LS曲线包含的区域内。
利用香蕉曲线进行比较,所获得的信息和S形曲线基本一致,但是由于它存在按照最早开始时间的计划曲线和最迟开始的计划曲线构成的合理进度区域,从而使得判断实际进度是否偏离计划进度以及对总工期是否会产生影响更为明确、直观。

5)列表比较法
当工程进度计划用非时标网络图表示时,可以采用列表比较法进行实际进度与计划进度的比较。这种方法是根据工作总时差进行实际进度与计划进度比较的方法。
(2)关键路径法
通过比较关键线路的进展情况来确定进度状态。关键线路上的差异将对项目的结束日期产生直接影响。评估次关键路径上的工作进展情况,有助于识别进度风险。
(3)挣值管理
采用进度绩效测量指标,如进度偏差(SV)和进度绩效指数(SPI),评价实际进度偏离初始进度基准的程度。总时差和最早结束时间偏差也是评价项目时间绩效的基本指标。
(二)进度调整的系统过程
在项目进度监测过程中,一旦出现进度偏差时,必须采取进度计划调整措施,确保进度目标的实现。
具体过程如下:
分析产生偏差的主要原因
进度拖延的原因是多方面的,常见的有:
(1)工程项目各相关单位之间的协调配合。
(2)工程变更。
(3)风险因素。
(4)工期及相关计划的失误和管理过程中的失误。
分析进度偏差是否影响到其后续工作和总工期
根据该项工作是否处于关键线路、其进度偏差是否超过该项工作的总时差和自由时差来判断对后续工作和总工期的影响。
进度计划调整
进度计划的调整措施包括:
(1)调整逻辑关系
当工程项目实施中产生的进度偏差影响到总工期,且有关工作的逻辑关系允许改变时,可以改变关键线路和超过计划工期的非关键线路上的有关工作之间的逻辑关系。在工作面及资源允许的情况下组织流水作业是其中的典型方法。
(2)增、减工作的调整方法
(3)调整资源的投入
当资源供应发生异常时,应采用资源优化方法对计划进行调整,或采取应急措施,使其对工期的影响最小。
(4)调整工作的持续时间
通过采取增加资源投入、提高劳动效率等措施,压缩位于关键线路和超过计划工期的非关键线路上的工作。
三、项目进度控制的工作成果 1
(一)工作绩效信息
针对WBS组件,特别是工作包和控制账户,计算出进度偏差(SV)与进度绩效指数(SPI),并记录在案,传达给项目相关方。
(二)进度预测
进度预测是根据已有的信息和知识,对项目未来的情况和事件进行的估算或预计。随着项目执行,应该基于工作绩效信息,更新和重新发布预测。这些信息包括项目的过去绩效和期望的未来绩效,以及可能影响项目未来绩效的挣值绩效指数。
(三)变更请求
通过分析进度偏差,审查进展报告、绩效测量结果和项目范围或进度调整情况,可能会对进度基准、范围基准和项目管理计划的其他组成部分提出变更请求。
应该把变更请求提交给实施整体变更控制过程审查和处理。预防措施可包括推荐的变更,以消除或降低不利进度偏差的发生概率。
(四)项目管理计划更新
项目管理计划中需要更新的内容包括进度基准、进度管理计划以及成本基准等。
(五)项目文件更新
需要更新的项目文件包括进度数据、项目进度计划和风险登记册等。
(六)组织过程资产更新
需要更新的组织过程资产包括偏差的原因、采取的纠正措施及其理由以及从项目进度控制中得到的其他经验教训。